微信扫码搜题

当前位置:

某宗房地产建成于2003年8月15日,此后收益期限为48年;2004年8月15日至2007年8月15日分别获得净收益83万元、85万元、90万元、94万元;预计2008年8月15日至2010年8月15日可分别获得净收益94万元、93万元、96万元,从2011年8月15日起每年可获得的净收益将稳定在95万元;该类房地产的报酬率为9%。

题型: 共用材料 分类: 房地产估价师

若要计算该宗房地产在2007年8月15日的收益价格应选用的计算公式为( ) 。

题型: 单选题
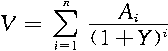
  • A.V=A/Y[1-1/(1+Y)
  • B.
  • C.
  • D.V=V-C

该宗房地产在2007年8月15日的收益价格为( ) 万元。

题型: 单选题
  • A.1025.77
  • B.1029.92
  • C.1033.97
  • D.1041.86
备考星球小程序
关注【备考星球】小程序
移动端APP,让学习更便捷
提供搜题、在线问答、章节练习、历年真题
保存二维码图片,打开微信扫一扫
请输入手机号查看答案x

关注【备考星球】微信小程序

移动端 搜题、在线问答、章节练习、历年真题

  点击更换  更换验证码

Copyright © 菜鸟搜题 版权所有   沪ICP备18007868号
搜题网站、搜题软件、题库软件,请推荐菜鸟搜题